图谱信息 供应商 相关产品
网站主页CAS数据库列表 610-30-0更多图谱2,4-二硝基苯甲酸(610-30-0)核磁图(1HNMR)

2,4-二硝基苯甲酸

产品名称 2,4-二硝基苯甲酸

CAS号610-30-0

分子式C7H4N2O6

分子量212.12

展开


  • Mass

    MS-NW-0484          
    2,4-dinitrobenzoic acid
    C7H4N2O6            (Mass of molecular ion:    212)
    

       Source Temperature: 210 °C
       Sample Temperature: 160 °C
       Direct, 75 eV
    

          18.0       3.0
          28.0       3.5
          29.0       1.0
          30.0     100.0
          37.0       4.3
          38.0       7.4
          39.0       4.5
          44.0       8.0
          45.0       5.2
          46.0       3.1
          49.0       1.7
          50.0      16.3
          51.0       4.9
          52.0       5.9
          53.0      30.6
          54.0       1.7
          55.0       1.4
          61.0       3.4
          62.0       7.7
          63.0      25.3
          64.0      30.9
          65.0       2.7
          66.0       2.2
          69.0       1.5
          73.0       4.4
          74.0      28.0
          75.0      36.6
          76.0      10.4
          77.0       3.1
          78.0       1.0
          79.0       3.4
          80.0       4.3
          90.0       4.0
          91.0      15.7
          92.0      23.6
          93.0       2.7
         103.0       1.7
         107.0       1.3
         108.0      10.9
         118.0       4.3
         119.0       5.1
         120.0      33.4
         121.0       3.0
         122.0      15.7
         123.0       1.2
         136.0       1.1
         138.0       1.1
         148.0       6.4
         149.0       1.4
         151.0       1.2
         164.0       1.9
         168.0      50.7
         169.0       3.9
         182.0       2.0
         195.0       1.8
         196.0       2.3
         212.0      26.0
         213.0       2.2
    

90 MHz in DMSO-d6


  • 1H NMR 89.56 MHz
    C7 H4 N2 O6 0.048 g : 0.5 ml DMSO-d6
    2,4-dinitrobenzoic acid
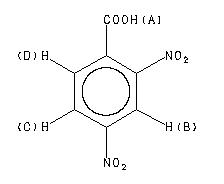
    ChemicalStructure
        Assign.     Shift(ppm)
    A 13. B 8.778 C 8.586 D 8.118

         Hz     ppm     Int.
    

        789.62   8.817     34
        787.51   8.794    767
        785.31   8.769   1000
        774.87   8.652    499
        772.67   8.628    352
        769.10   8.588     36
        766.53   8.559    659
        764.24   8.534    564
        748.03   8.353     29
        730.53   8.157    982
        727.23   8.121     26
        722.19   8.064    677
        719.81   8.038     30
    

KBr disc



nujol mull



4880 A,150M,powder