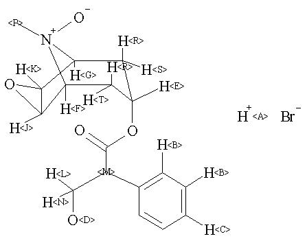
400 MHz in DMSO-d6
-
1H NMR 399.65 MHz C17 H21 N O5 0.040 g : 0.5 ml DMSO-d6 scopolamine N-oxide hydrobromide 
Assign. Shift(ppm)
A 11. B 7.349 C 7.304 D 5.6 E 4.987 F *1 4.512 G *1 4.466 J *2 4.246 K *2 4.000 L *3 3.967 M 3.818 N *3 3.700 P 3.392 R 2.73 S *4 2.145 T *4 2.002 assigned by C-H and H-H COSY
Hz ppm Int.4377.68 10.954 82 2939.82 7.356 710 2935.43 7.346 1000 2930.11 7.332 60 2927.55 7.326 89 2923.70 7.316 126 2919.67 7.306 150 2918.03 7.302 67 2915.28 7.295 127 2913.45 7.291 47 2911.43 7.285 54 2910.70 7.284 53 2060.26 5.156 42 1998.90 5.002 80 1993.40 4.988 144 1987.72 4.974 78 1804.37 4.515 152 1802.54 4.511 149 1786.06 4.470 152 1784.04 4.465 149 1698.87 4.251 268 1695.39 4.243 276 1600.14 4.004 317 1596.66 3.996 280 1589.89 3.979 103 1580.18 3.954 80 1532.92 3.836 125 1527.24 3.822 171 1523.95 3.814 101 1518.45 3.800 125 1486.21 3.719 79 1480.53 3.705 75 1476.14 3.694 78 1470.64 3.680 59 1372.10 3.434 32 1369.54 3.427 36 1368.80 3.425 37 1355.80 3.393 251 1112.74 2.785 42 1108.34 2.774 61 1107.24 2.771 63 1103.03 2.760 70 1099.18 2.751 57 1095.34 2.741 105 1091.31 2.731 85 1089.66 2.727 102 1085.81 2.717 52 1081.78 2.707 59 1077.75 2.697 63 1077.39 2.696 63 1076.47 2.694 65 1072.44 2.684 46 865.46 2.166 97 848.24 2.123 87 808.50 2.024 96 791.28 1.980 88
更多供应商




