图谱信息 供应商 相关产品
网站主页CAS数据库列表 611-09-6更多图谱5-硝基靛红(611-09-6)质谱(MS)

5-硝基靛红

产品名称 5-硝基靛红

CAS号611-09-6

分子式C8H4N2O4

分子量192.13

展开


  • Mass

    MS-IW-4952          
    5-nitro-2,3-indoledione
    C8H4N2O4            (Mass of molecular ion:    192)
    

       Source Temperature: 170 °C
       Sample Temperature: 200 °C
       Direct, 75 eV
    

          18.0       2.1
          28.0       2.9
          30.0       1.8
          37.0       2.7
          38.0       3.4
          39.0       4.4
          40.0       1.1
          44.0       1.2
          44.5       1.1
          45.0       1.8
          50.0       2.1
          51.0       3.8
          52.0       4.6
          53.0       2.5
          61.0       4.3
          62.0      10.6
          63.0      21.6
          64.0       4.6
          73.0       2.1
          74.0       5.1
          75.0      10.0
          76.0       1.1
          77.0       1.1
          78.0       4.6
          79.0       4.4
          80.0       2.8
          87.0       1.0
          88.0       2.1
          89.0       4.4
          90.0      36.3
          91.0       5.0
         103.0       1.4
         106.0      10.0
         107.0       2.1
         117.0       2.2
         118.0       5.5
         134.0       4.7
         137.0       1.8
         145.0       1.2
         148.0       2.7
         164.0     100.0
         165.0       8.7
         192.0      45.0
         193.0       4.5
    

400 MHz in DMSO-d6


  • 1H NMR 399.65 MHz
    C8 H4 N2 O4 0.028 g : 0.5 ml DMSO-d6
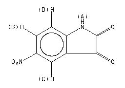
    5-nitro-2,3-indoledione
    ChemicalStructure
        Assign.     Shift(ppm)
    A 11.68 B 8.441 C 8.206 D 7.090 J(B,D)=8.7HZ J(B,C)=2.4HZ

         Hz     ppm     Int.
    

       4668.00  11.681    538
       3379.60   8.457    774
       3377.22   8.451    729
       3370.81   8.435    752
       3368.43   8.429    871
       3280.88   8.210    853
       3278.50   8.204    856
       3274.83   8.195     67
       3273.55   8.192     37
       3273.19   8.191     36
       3271.90   8.187     30
       3271.17   8.186     27
       2837.62   7.101    990
       2833.22   7.090     42
       2829.37   7.080    897
       2829.01   7.079   1000
    

in DMSO-d6



KBr disc



nujol mull