图谱信息 供应商 相关产品
网站主页CAS数据库列表 611-33-6更多图谱8-氯喹啉(611-33-6)红外图谱(IR1)

8-氯喹啉

产品名称 8-氯喹啉

CAS号611-33-6

分子式C9H6ClN

分子量163.6

展开



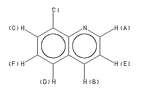
  •     Assign.     Shift(ppm)
    A 9.017 B 8.127 C 7.79 D 7.71 E 7.45 F 7.44
    Spectral Code: 1H NMR : 90 MHz in CDCl3



  •        ppm   Int.  Assign.
    150.78 737 1 144.19 253 2 136.36 879 3 133.20 348 4 129.42 1000 5 6 126.92 904 7 126.34 813 8 121.78 884 9
    Spectral Code: 13C NMR : in CDCl3


  • Spectral Code: IR : liquid film


  • Spectral Code: Raman : 4880 A,200 M,liquid