-
MS-NW-6164 5-aminoquinoline C9H8N2 (Mass of molecular ion: 144)
Source Temperature: 240 °C Sample Temperature: 190 °C Reservoir, 75 eV
18.0 2.4 38.0 1.5 39.0 3.4 41.0 1.1 50.0 1.9 51.0 2.2 52.0 2.2 58.5 2.7 62.0 2.2 63.0 4.6 64.0 2.0 65.0 1.6 72.0 3.8 74.0 1.2 75.0 1.2 76.0 1.6 77.0 1.0 78.0 1.5 88.0 1.3 89.0 8.6 90.0 6.8 91.0 1.7 105.0 1.1 115.0 1.5 116.0 9.5 117.0 18.1 118.0 3.2 142.0 2.3 143.0 9.0 144.0 100.0 145.0 11.0
90 MHz in CDCl3
-
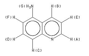
1H NMR 89.56 MHz C9 H8 N2 0.043 g : 0.5 ml CDCl3 5-aminoquinoline 
Assign. Shift(ppm)
A 8.855 B 8.140 C 7.57 D 7.48 E 7.281 F 6.778 G 4.25 J(A,E)=4.2HZ J(A,B)=1.6HZ J(B,E)=8.6HZ J(F,D)=6.4HZ J(C,F)=2.2HZ J(B,C)=0.8HZ J(C,D)=8.4HZ
Hz ppm Int.796.13 8.890 347 794.50 8.872 388 791.94 8.843 383 790.31 8.825 410 734.94 8.207 275 734.13 8.198 233 733.25 8.188 289 732.69 8.181 220 726.38 8.111 341 725.81 8.105 292 724.69 8.092 345 724.19 8.087 267 684.88 7.648 51 684.38 7.642 40 682.81 7.625 115 682.06 7.616 111 676.38 7.553 576 675.38 7.542 1000 674.38 7.530 528 673.63 7.522 483 669.00 7.470 826 660.50 7.375 225 658.13 7.349 563 653.94 7.302 524 649.56 7.253 465 645.38 7.207 440 611.13 6.824 470 608.94 6.800 387 604.75 6.753 384 602.56 6.729 371 380.63 4.251 286
更多供应商






