图谱信息 供应商 相关产品
网站主页CAS数据库列表 612-16-8更多图谱2-甲氧基苯甲醇(612-16-8)核磁图(1HNMR)

2-甲氧基苯甲醇

产品名称 2-甲氧基苯甲醇

CAS号612-16-8

分子式C8H10O2

分子量138.16

展开


  • Mass

    MS-NW-6430          
    o-methoxybenzyl alcohol
    C8H10O2             (Mass of molecular ion:    138)
    

       Source Temperature: 260 °C
       Sample Temperature: 190 °C
       Reservoir, 75 eV
    

          15.0       2.6
          18.0       2.0
          27.0       4.1
          28.0       3.5
          29.0       4.0
          31.0       3.5
          33.0       1.6
          37.0       1.5
          38.0       3.8
          39.0      13.9
          40.0       2.3
          41.0       6.0
          43.0       1.0
          50.0       6.9
          51.0      16.5
          52.0       4.9
          53.0       2.8
          55.0       3.3
          61.0       1.2
          61.5       1.1
          62.0       2.3
          63.0       6.3
          64.0       3.3
          65.0      12.6
          66.0       3.7
          67.0       3.9
          74.0       1.9
          75.0       1.5
          76.0       4.5
          77.0      46.7
          78.0      15.2
          79.0      15.9
          80.0       1.2
          89.0       2.7
          90.0       3.1
          91.0      34.3
          92.0       6.8
          93.0       3.1
          94.0      11.9
          95.0      11.1
         104.0       2.1
         105.0      51.5
         106.0      21.3
         107.0      37.5
         108.0       4.1
         109.0      33.3
         110.0       3.4
         119.0       5.4
         120.0       6.3
         121.0      18.8
         122.0       6.5
         123.0      18.8
         124.0       1.5
         135.0       2.9
         136.0       1.7
         137.0      29.1
         138.0     100.0
         139.0       8.6
    

400 MHz in CDCl3


  • 1H NMR 399.65 MHz
    C8 H10 O2 0.05 ml : 0.5 ml CDCl3
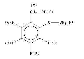
    o-methoxybenzyl alcohol
    ChemicalStructure
        Assign.     Shift(ppm)
    A 7.25 B 7.23 C 6.896 D 6.806 E 4.615 F 3.752 G 3.07 J(E,G)=3.7HZ

         Hz     ppm     Int.
    

       2900.88   7.259     67
       2900.51   7.258     75
       2899.78   7.256     73
       2899.17   7.255     93
       2898.68   7.254     93
       2893.55   7.241    124
       2893.19   7.240    116
       2892.46   7.238    102
       2891.85   7.236    144
       2891.36   7.235    133
       2886.11   7.222     99
       2885.62   7.221    103
       2884.28   7.218     73
       2883.79   7.216     80
       2878.05   7.202     79
       2876.59   7.198     86
       2876.22   7.197     74
       2763.79   6.916     78
       2762.82   6.914     86
       2756.35   6.897    129
       2755.37   6.895    144
       2749.02   6.879     68
       2747.92   6.876     74
       2724.49   6.818    118
       2723.75   6.816    118
       2716.31   6.797    112
       2715.58   6.795    111
       1846.19   4.620    127
       1842.53   4.611    138
       1499.76   3.753   1000
       1228.03   3.073     60
    

in CDCl3



liquid film



4880 A,200 M,liquid