
2,2'-联二萘
产品名称
2,2'-联二萘
CAS号612-78-2
分子式C20H14
分子量254.33
InChIInChI=1S/C20H14/c1-3-7-17-13-19(11-9-15(17)5-1)20-12-10-16-6-2-4-8-18(16)14-20/h1-14H
InChIKeyMSBVBOUOMVTWKE-UHFFFAOYSA-N
SmilesC1=C2C(C=CC=C2)=CC=C1C1=CC=C2C(=C1)C=CC=C2
展开
收起
-
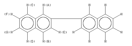
Assign. Shift(ppm)
A 8.172
B 7.96
C *1 7.94
D *1 7.89
E 7.89
F *2 7.53
G *2 7.50
Spectral Code: 1H NMR : 400 MHz in CDCl3
-
ppm Int. Assign.
138.68 503 1
134.03 411 2
132.95 429 3
128.59 865 4
128.35 847 5 *
127.78 926 6 *
126.41 969 7 #
126.24 1000 8
126.06 945 9 #
125.84 896 10
ASSIGNED BY C-H COSY.
Spectral Code: 13C NMR : in CDCl3
-
Spectral Code: IR : KBr disc
-
Spectral Code: ESR : ANION RADICAL, REDUCTION WITH K IN THF
2,2'-联二萘(612-78-2)红外图谱(IR1) 相关产品图谱