图谱信息 供应商 相关产品
网站主页CAS数据库列表 613-53-6更多图谱2-(三溴甲基)喹啉(613-53-6)核磁图(1HNMR)

2-(三溴甲基)喹啉

产品名称 2-(三溴甲基)喹啉

CAS号613-53-6

分子式C10H6Br3N

分子量379.87

展开


  • Mass

    MS-IW-0689          
    2-(tribromomethyl)quinoline
    C10H6Br3N           (Mass of molecular ion:    377)
    

       Source Temperature: 160 °C
       Sample Temperature: 120 °C
       Direct, 75 eV
    

          39.0       1.6
          50.0       1.4
          51.0       1.2
          56.0       1.0
          56.5       1.1
          62.0       1.4
          63.0       3.7
          69.5       1.6
          70.0       5.2
          70.5       1.5
          74.0       1.0
          75.0       1.5
          79.0       1.4
          80.0       5.2
          81.0       1.4
          82.0       5.2
          87.0       1.4
          88.0       1.6
          89.0       1.1
         101.0       1.1
         109.5       5.6
         110.0       1.2
         110.5       5.5
         111.0       1.1
         113.0       7.0
         114.0       2.8
         139.0       2.3
         140.0      43.3
         141.0       7.1
         149.0       3.7
         150.0       7.3
         151.0       3.6
         193.0       1.7
         195.0       1.6
         218.0       1.7
         219.0       5.4
         220.0       8.2
         221.0       5.9
         222.0       6.4
         298.0      51.2
         299.0       6.5
         300.0     100.0
         301.0      12.5
         302.0      49.4
         303.0       6.1
         377.0       1.6
         379.0       4.7
         381.0       4.6
         383.0       1.4
    

400 MHz in CDCl3


  • 1H NMR 399.65 MHz
    C10 H6 Br3 N 0.038 g : 0.5 ml CDCl3
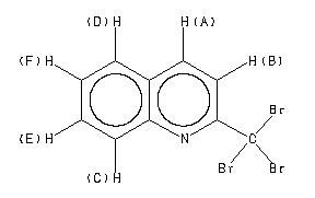
    2-(tribromomethyl)quinoline
    ChemicalStructure
        Assign.     Shift(ppm)
    A 8.250 B 8.242 C 8.203 D 7.863 E 7.791 F 7.606

         Hz     ppm     Int.
    

       3305.54   8.272     64
       3296.51   8.249    690
       3294.80   8.245   1000
       3286.01   8.223    111
       3283.08   8.215    218
       3282.47   8.214    225
       3274.54   8.194    246
       3273.93   8.192    250
       3147.58   7.876    168
       3147.09   7.875    180
       3146.24   7.873    188
       3138.92   7.855    214
       3138.06   7.853    227
       3122.31   7.813    142
       3120.85   7.809    133
       3115.36   7.796    187
       3113.89   7.792    272
       3112.43   7.788    130
       3106.93   7.775    168
       3105.47   7.771    145
       3055.91   7.647    179
       3054.69   7.644    175
       3048.95   7.630    166
       3047.73   7.626    285
       3046.63   7.624    158
       3040.77   7.609    128
       3039.67   7.606    121
    

in CDCl3



KBr disc



nujol mull