-
MS-IW-8997 o-methoxyphenyl acetate C9H10O3 (Mass of molecular ion: 166)
Source Temperature: 210 °C Sample Temperature: 150 °C Reservoir, 75 eV
15.0 2.3 26.0 1.2 27.0 1.2 28.0 1.3 38.0 1.1 39.0 2.5 41.0 2.2 42.0 1.5 43.0 19.0 50.0 1.9 51.0 3.6 52.0 6.5 53.0 2.6 63.0 2.1 64.0 1.1 65.0 3.2 77.0 2.9 80.0 1.6 81.0 11.9 95.0 2.2 109.0 55.0 110.0 3.8 124.0 100.0 125.0 7.8 166.0 8.4 167.0 1.0
400 MHz in CDCl3
-
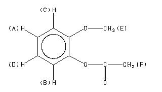
1H NMR 399.65 MHz C9 H10 O3 0.05 ml : 0.5 ml CDCl3 o-methoxyphenyl acetate 
Assign. Shift(ppm)
A 7.175 B 7.020 C 6.945 D 6.926 E 3.791 F 2.285
Hz ppm Int.2876.95 7.199 60 2875.24 7.195 64 2869.63 7.181 80 2868.65 7.178 89 2867.92 7.177 89 2867.07 7.174 85 2861.33 7.160 84 2859.62 7.156 86 2811.28 7.035 98 2809.57 7.031 103 2803.47 7.015 149 2801.64 7.011 142 2780.40 6.958 99 2779.17 6.955 134 2774.90 6.944 124 2773.56 6.940 85 2772.22 6.937 94 2770.87 6.934 114 2767.46 6.925 135 2766.11 6.922 98 2759.64 6.906 66 2758.30 6.902 55 1515.01 3.791 900 913.21 2.286 1000
更多供应商




