-
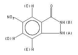
MS-NW-8182 5-nitro-1,2-dihydro-3H-indazol-3-one C7H5N3O3 (Mass of molecular ion: 179)
Source Temperature: 190 °C Sample Temperature: 220 °C Direct, 75 eV
18.0 5.0 27.0 1.5 28.0 6.0 29.0 1.1 30.0 1.9 37.0 1.4 38.0 1.9 39.0 4.8 44.0 1.8 50.0 6.4 51.0 12.1 52.0 5.2 53.0 2.3 61.0 1.4 62.0 3.0 63.0 8.8 64.0 3.4 65.0 2.5 66.0 2.7 74.0 4.8 75.0 9.2 76.0 9.1 77.0 4.3 78.0 21.7 79.0 1.9 88.0 1.0 89.0 1.0 90.0 2.5 92.0 1.8 93.0 1.0 103.0 3.1 104.0 4.4 105.0 15.1 106.0 2.3 120.0 1.0 121.0 5.5 132.0 1.1 133.0 33.4 134.0 3.0 149.0 19.0 150.0 2.0 163.0 1.7 179.0 100.0 180.0 9.4 181.0 1.0
400 MHz in DMSO-d6
-
1H NMR 399.65 MHz C7 H5 N3 O3 0.036 g : 0.5 ml DMSO-d6 5-nitro-1,2-dihydro-3H-indazol-3-one 
Assign. Shift(ppm)
A *1 12.5 B *1 11. C 8.707 D 8.151 E 7.490
Hz ppm Int.4981.19 12.464 62 3481.13 8.711 1000 3478.99 8.706 983 3263.60 8.167 589 3261.46 8.161 568 3254.41 8.144 626 3252.06 8.138 615 2998.20 7.503 879 2994.14 7.492 53 2993.50 7.491 53 2989.01 7.480 834
更多供应商





