图谱信息 供应商 相关产品
网站主页CAS数据库列表 6138-90-5更多图谱香叶基溴(6138-90-5)核磁图(1HNMR)

香叶基溴

产品名称 香叶基溴

CAS号6138-90-5

分子式C10H17Br

分子量217.15

展开

400 MHz in CDCl3


  • 1H NMR 399.65 MHz
    C10 H17 Br 0.05 ml : 0.5 ml CDCl3
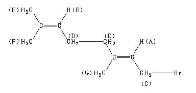
    (E)-1-bromo-3,7-dimethyl-2,6-octadiene
    ChemicalStructure
        Assign.     Shift(ppm)
    A 5.528 B 5.070 C 4.017 D 2.07 E 1.724 F 1.680 G 1.600 ASSIGNED BY H-H COSY.

         Hz     ppm     Int.
    

       2218.51   5.552     79
       2217.16   5.548     78
       2211.30   5.534     91
       2210.08   5.531    148
       2208.74   5.527    152
       2207.52   5.524     92
       2201.54   5.509     76
       2200.32   5.506     78
       2031.86   5.085     66
       2029.30   5.078     74
       2027.83   5.075    109
       2026.49   5.071    129
       2025.02   5.067    105
       2023.68   5.064     65
       1609.74   4.028    527
       1601.32   4.007    513
        843.02   2.110    119
        842.29   2.108    122
        836.43   2.093    215
        829.35   2.076    390
        825.07   2.065    184
        690.06   1.727    998
        688.60   1.724   1000
        672.24   1.683    791
        671.26   1.680    804
        639.16   1.600    871
    

in CDCl3