-
MS-NW-0970 ethyl nicotinate C8H9NO2 (Mass of molecular ion: 151)
Source Temperature: 280 °C Sample Temperature: 150 °C Reservoir, 75 eV
15.0 1.0 18.0 1.3 26.0 2.9 27.0 10.0 28.0 2.9 29.0 13.6 38.0 1.3 39.0 2.5 45.0 7.6 49.0 1.6 50.0 12.9 51.0 38.0 52.0 7.0 53.0 2.3 76.0 1.6 77.0 6.3 78.0 66.7 79.0 13.8 105.0 18.9 106.0 100.0 107.0 10.0 108.0 1.4 123.0 49.1 124.0 4.5 150.0 6.7 151.0 26.9 152.0 2.5
90 MHz in CDCl3
-
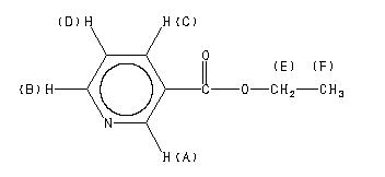
1H NMR 89.56 MHz C8 H9 N O2 0.04 ml : 0.5 ml CDCl3 ethyl nicotinate 
Assign. Shift(ppm)
A 9.234 B 8.771 C 8.297 D 7.392 E 4.419 F 1.419
Hz ppm Int.828.31 9.249 117 827.63 9.242 126 826.25 9.226 138 825.44 9.217 125 789.13 8.812 94 787.31 8.791 108 784.25 8.757 105 782.50 8.738 114 749.31 8.367 76 747.56 8.348 104 745.44 8.324 72 741.44 8.279 94 739.63 8.259 127 737.44 8.235 82 668.50 7.465 94 667.63 7.455 91 663.69 7.411 90 662.81 7.401 83 660.56 7.376 82 659.69 7.366 76 655.69 7.322 74 654.88 7.313 69 406.88 4.544 120 399.63 4.463 429 392.50 4.383 452 385.50 4.305 143 134.00 1.497 458 126.94 1.418 1000 119.75 1.338 408
更多供应商





