-
MS-NW-6600 2-hydroxybenzimidazole C7H6N2O (Mass of molecular ion: 134)
Source Temperature: 160 °C Sample Temperature: 140 °C Direct, 75 eV
18.0 1.7 26.0 1.0 27.0 1.6 28.0 2.6 37.0 1.4 38.0 2.5 39.0 2.2 50.0 2.9 51.0 6.9 52.0 10.9 53.0 5.0 62.0 1.1 63.0 3.0 64.0 2.1 65.0 1.1 67.0 6.5 76.0 1.3 77.0 1.4 78.0 6.5 79.0 19.4 80.0 2.2 105.0 11.8 106.0 26.2 107.0 2.0 133.0 4.2 134.0 100.0 135.0 8.4
400 MHz in DMSO-d6
-
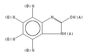
1H NMR 399.65 MHz C7 H6 N2 O 0.037 g : 0.5 ml DMSO-d6 2-hydroxybenzimidazole 
Assign. Shift(ppm)
A 10.65 B 6.98 to 6.94
Hz ppm Int.4256.61 10.651 337 2791.09 6.984 96 2788.71 6.978 78 2786.51 6.973 177 2781.93 6.961 1000 2779.55 6.955 927 2777.72 6.951 271 2774.97 6.944 163 2772.41 6.938 62 2770.21 6.932 98 2768.01 6.927 26
更多供应商






