-
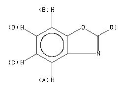
MS-IW-7350 2-chlorobenzoxazole C7H4ClNO (Mass of molecular ion: 153)
Source Temperature: 230 °C Sample Temperature: 150 °C Reservoir, 75 eV
37.0 3.8 38.0 6.7 39.0 4.8 47.0 1.1 50.0 2.0 51.0 2.7 53.0 1.1 61.0 2.3 62.0 5.1 62.5 1.8 63.0 20.8 64.0 27.7 65.0 1.9 76.5 1.3 89.0 1.0 90.0 13.9 91.0 1.3 92.0 10.2 118.0 4.6 125.0 8.0 127.0 2.6 153.0 100.0 154.0 8.3 155.0 33.2 156.0 2.7
400 MHz in CDCl3
-
1H NMR 399.65 MHz C7 H4 Cl N O 0.05 ml : 0.5 ml CDCl3 2-chlorobenzoxazole 
Assign. Shift(ppm)
A 7.643 B 7.454 C 7.34 D 7.31
Hz ppm Int.3064.21 7.668 39 3063.11 7.665 48 3059.69 7.656 326 3059.08 7.655 300 3056.52 7.648 302 3055.79 7.647 255 3053.59 7.641 320 3053.10 7.640 311 3050.42 7.633 354 3049.80 7.632 338 3046.02 7.622 81 2988.89 7.479 48 2988.40 7.478 41 2984.74 7.469 290 2984.13 7.467 266 2981.20 7.460 381 2979.00 7.455 253 2977.91 7.452 279 2975.46 7.446 393 2974.73 7.444 361 2971.31 7.435 78 2970.46 7.433 69 2936.40 7.348 189 2932.13 7.337 1000 2928.96 7.329 750 2926.15 7.322 729 2922.73 7.314 855 2918.58 7.303 131
更多供应商




