-
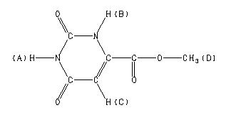
MS-NW-8713 methyl 2,6-dioxo-1,2,3,6-tetrahydro-4-pyrimidinecarboxylate C6H6N2O4 (Mass of molecular ion: 170)
Source Temperature: 200 °C Sample Temperature: 130 °C Direct, 75 eV
15.0 2.3 18.0 3.7 28.0 2.4 39.0 2.6 40.0 11.5 41.0 1.6 44.0 1.3 53.0 1.5 59.0 1.6 67.0 4.6 68.0 100.0 69.0 5.2 70.0 1.4 91.0 1.8 97.0 3.8 99.0 6.8 112.0 1.1 127.0 15.8 128.0 2.3 139.0 2.4 170.0 59.9 171.0 4.7
400 MHz in DMSO-d6
更多供应商






