
1,2-二甲基-3,5-二硝基苯
产品名称
1,2-二甲基-3,5-二硝基苯
CAS号616-69-3
分子式C8H8N2O4
分子量196.16
InChIInChI=1S/C8H8N2O4/c1-5-3-7(9(11)12)4-8(6(5)2)10(13)14/h3-4H,1-2H3
InChIKeyFHCBGLKAGXVKHS-UHFFFAOYSA-N
SmilesC1(C)=CC([N+]([O-])=O)=CC([N+]([O-])=O)=C1C
展开
收起
-
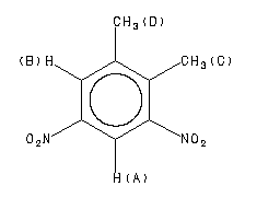
Assign. Shift(ppm)
A 8.448
B 8.240
C 2.53
D 2.51
Spectral Code: 1H NMR : 90 MHz in CDCl3
-
ppm Int. Assign.
150.81 145 1
145.40 210 2
142.05 725 3 *
138.27 645 4 *
127.34 980 5
117.05 865 6
20.89 1000 7
15.88 925 8
Spectral Code: 13C NMR : in CDCl3
-
Spectral Code: IR : KBr disc
-
Spectral Code: Raman : 4880 A,200 M,powder
1,2-二甲基-3,5-二硝基苯(616-69-3)红外图谱(IR1) 相关产品图谱