图谱信息 供应商 相关产品
网站主页CAS数据库列表 616-82-0更多图谱4-羟基-3-硝基苯甲酸(616-82-0)红外图谱(IR2)

4-羟基-3-硝基苯甲酸

产品名称 4-羟基-3-硝基苯甲酸

CAS号616-82-0

分子式C7H5NO5

分子量183.12

展开


  • Mass

    MS-NW-9576          
    4-hydroxy-3-nitrobenzoic acid
    C7H5NO5             (Mass of molecular ion:    183)
    

       Source Temperature: 180 °C
       Sample Temperature: 110 °C
       Direct, 75 eV
    

          17.0       1.2
          18.0       6.4
          27.0       1.6
          28.0       1.3
          30.0       2.6
          37.0       1.0
          38.0       2.1
          39.0       4.0
          45.0       1.5
          50.0       1.6
          51.0       3.0
          52.0       2.4
          53.0       6.9
          55.0       1.9
          61.0       1.3
          62.0       3.8
          63.0       8.5
          64.0       2.6
          69.0       2.4
          71.0       1.1
          77.5       1.1
          79.0       2.0
          80.0       1.7
          81.0       8.0
          91.0       4.8
          92.0       3.3
          93.0       1.0
          97.0       4.5
         107.0       1.7
         108.0       2.7
         109.0       4.9
         119.0       8.5
         120.0       6.2
         121.0       1.5
         125.0       5.0
         136.0       5.1
         137.0       3.2
         138.0       1.1
         150.0       1.0
         153.0       9.5
         166.0      18.2
         167.0       2.0
         183.0     100.0
         184.0       8.6
         185.0       1.3
         201.0       1.1
    

400 MHz in DMSO-d6


  • 1H NMR 399.65 MHz
    C7 H5 N O5 0.042 g : 0.5 ml DMSO-d6
    4-hydroxy-3-nitrobenzoic acid
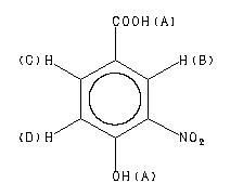
    ChemicalStructure
        Assign.     Shift(ppm)
    A 12.6 B 8.401 C 8.077 D 7.239

         Hz     ppm     Int.
    

       5024.99  12.574     54
       3373.64   8.442     42
       3357.62   8.402   1000
       3245.65   8.122     41
       3232.40   8.089    528
       3224.28   8.068    552
       2897.34   7.250    633
       2888.79   7.229    612
    

in DMSO-d6



KBr disc



nujol mull