图谱信息 供应商 相关产品
网站主页CAS数据库列表 617-04-9更多图谱甲基-D-丙噻(617-04-9)核磁图(13CNMR)

甲基-D-丙噻

产品名称 甲基-D-丙噻

CAS号617-04-9

分子式C7H14O6

分子量194.18

展开


  • Mass

    MS-NW-2268          
    methyl alpha-D-mannopyranoside
    C7H14O6             (Mass of molecular ion:    194)
    

       Source Temperature: 220 °C
       Sample Temperature: 160 °C
       Direct, 75 eV
    

          15.0      11.3
          17.0       2.0
          18.0      10.3
          19.0       7.5
          26.0       1.3
          27.0       7.3
          28.0       6.4
          29.0      16.2
          30.0       2.9
          31.0      22.5
          32.0       3.0
          33.0       7.6
          39.0       3.0
          41.0       5.9
          42.0       7.4
          43.0      16.5
          44.0       6.5
          45.0      18.3
          47.0       1.5
          53.0       1.0
          54.0       1.4
          55.0       8.1
          56.0      12.3
          57.0      41.8
          58.0       2.4
          59.0       9.8
          60.0     100.0
          61.0      40.5
          62.0       1.4
          69.0       8.1
          70.0       6.6
          71.0      24.5
          72.0       3.5
          73.0      48.9
          74.0      79.3
          75.0      15.9
          85.0       9.0
          86.0       2.7
          87.0       9.2
          89.0       1.3
          91.0       1.5
          97.0       5.6
          98.0       6.9
          99.0       2.1
         101.0       1.4
         103.0       3.7
         104.0       2.7
         116.0       5.4
         121.0       1.7
         127.0       2.3
         131.0       4.7
         133.0       1.0
         144.0       3.5
         145.0       6.4
         163.0       2.0
    

400 MHz in DMSO-d6


  • 1H NMR 399.65 MHz
    C7 H14 O6 0.040 g : 0.5 ml DMSO-d6
    methyl alpha-D-mannopyranoside
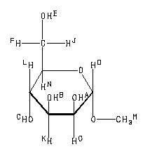
    ChemicalStructure
        Assign.     Shift(ppm)
    A *1 4.70 B *1 4.70 C *1 4.55 D 4.490 E 4.45 F 3.658 G 3.587 J 3.44 K 3.41 L 3.34 M 3.243 N 3.24 ASSIGNED BY C-H COSY

         Hz     ppm     Int.
    

       1881.47   4.708    243
       1880.98   4.707    257
       1877.08   4.697    215
       1875.49   4.693    221
       1821.41   4.558    176
       1815.43   4.543    176
       1795.41   4.493    139
       1793.95   4.489    149
       1786.25   4.470     72
       1780.27   4.455    176
       1774.17   4.440     76
       1472.66   3.685     30
       1470.46   3.680     32
       1466.67   3.670     30
       1464.48   3.665     34
       1460.94   3.656     41
       1458.86   3.651     40
       1454.96   3.641     39
       1452.88   3.636     39
       1438.48   3.600     46
       1436.89   3.596     48
       1435.18   3.592     58
       1433.72   3.588     76
       1432.50   3.585     59
       1430.79   3.581     52
       1429.08   3.576     50
       1387.08   3.471     35
       1380.86   3.456     71
       1376.95   3.446     39
       1374.63   3.440     64
       1370.97   3.431     37
       1369.14   3.426     72
       1367.92   3.423     82
       1364.50   3.415     58
       1362.18   3.409     68
       1358.64   3.400     51
       1351.44   3.382     57
       1346.19   3.369     46
       1342.16   3.359     68
       1336.67   3.345     74
       1332.89   3.336     35
       1327.39   3.322     36
       1309.08   3.276     35
       1307.01   3.271     44
       1305.05   3.266     47
       1300.66   3.255     54
       1296.26   3.244   1000
       1291.38   3.232     38
       1289.31   3.227     30
       1283.45   3.212     38
    

in D2O

in DMSO-d6





KBr disc



nujol mull



4880 A,200 M,powder