图谱信息 供应商 相关产品
网站主页CAS数据库列表 617-05-0更多图谱香草酸乙酯(617-05-0)Raman光谱

香草酸乙酯

产品名称 香草酸乙酯

CAS号617-05-0

分子式C10H12O4

分子量196.2

展开


  • Mass

    MS-NW-1939          
    ethyl vanillate
    C10H12O4            (Mass of molecular ion:    196)
    

       Source Temperature: 150 °C
       Sample Temperature: 120 °C
       Direct, 75 eV
    

          27.0       2.4
          29.0       2.9
          39.0       1.7
          41.0       1.9
          50.0       2.1
          51.0       5.2
          52.0       7.5
          53.0       2.6
          55.0       1.9
          62.0       1.2
          63.0       2.4
          65.0       4.5
          67.0       1.5
          77.0       2.6
          79.0       3.2
          80.0       2.8
          81.0       1.4
          92.0       1.4
          93.0       1.6
          95.0       1.1
          97.0       2.5
         108.0       5.5
         109.0       3.0
         120.0       1.2
         121.0       1.0
         122.0       1.4
         123.0      12.1
         124.0       2.3
         125.0       2.6
         136.0       1.6
         137.0       2.1
         151.0     100.0
         152.0      12.3
         153.0       8.8
         168.0      18.4
         169.0       1.6
         181.0       4.6
         196.0      55.3
         197.0       6.3
    

90 MHz in CDCl3


  • 1H NMR 89.56 MHz
    C10 H12 O4 0.046 g : 0.5 ml CDCl3
    ethyl vanillate
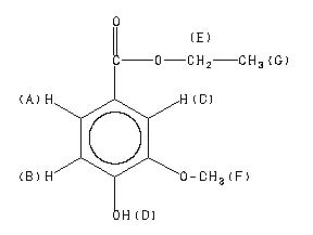
    ChemicalStructure
        Assign.     Shift(ppm)
    A 7.639 B 7.553 C 6.938 D 6.16 E 4.349 F 3.925 G 1.381

         Hz     ppm     Int.
    

        689.81   7.703     60
        687.88   7.681     78
        681.63   7.611     57
        679.75   7.590    118
        677.06   7.560    174
        675.31   7.541    102
        624.94   6.978    167
        616.75   6.887    128
        552.06   6.165    259
        400.50   4.472     67
        393.38   4.393    236
        386.25   4.313    250
        379.13   4.234     81
        351.50   3.925   1000
        130.63   1.459    259
        123.56   1.380    523
        116.38   1.300    230
    

in CDCl3



CCl4 solution



liquid film



4880 A,200 M,powder