图谱信息 供应商 相关产品
网站主页CAS数据库列表 61852-40-2更多图谱3-(丁基苯氨基)丙腈(61852-40-2)Raman光谱

3-(丁基苯氨基)丙腈

产品名称 3-(丁基苯氨基)丙腈

CAS号61852-40-2

分子式C13H18N2

分子量202.3

展开



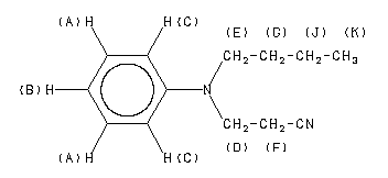
  •     Assign.     Shift(ppm)
    A 7.23 B 6.72 C 6.66 D 3.640 E 3.32 F 2.55 G 1.56 J 1.35 K 0.96
    Spectral Code: 1H NMR : 90 MHz in CDCl3



  •        ppm   Int.  Assign.
    146.72 333 1 129.54 1000 2 118.48 323 3 117.23 527 4 112.64 914 5 51.17 462 6 47.17 511 7 29.51 441 8 20.23 484 9 15.80 495 10 13.96 430 11
    Spectral Code: 13C NMR : in CDCl3


  • Spectral Code: IR : liquid film


  • Spectral Code: Raman : 4880 A,150M,liquid