图谱信息 供应商 相关产品
网站主页CAS数据库列表 61931-68-8更多图谱2-甲基-5-苯基苯并唑(61931-68-8)红外图谱(IR)

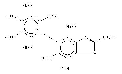
2-甲基-5-苯基苯并唑

产品名称 2-甲基-5-苯基苯并唑

CAS号61931-68-8

分子式C14H11NO

分子量209.24

展开

400 MHz in CDCl3


  • 1H NMR 399.65 MHz
    C14 H11 N O 0.039 g : 0.5 ml CDCl3
    2-methyl-5-phenylbenzoxazole
    ChemicalStructure
        Assign.     Shift(ppm)
    A 7.841 B 7.597 C 7.50 D 7.443 E 7.349 F 2.643

         Hz     ppm     Int.
    

       3135.13   7.845    115
       3133.79   7.842    174
       3132.69   7.839    120
       3041.87   7.612    127
       3040.41   7.608    159
       3038.57   7.604     53
       3034.42   7.593     96
       3033.45   7.591    174
       3032.35   7.588    171
       3030.27   7.583     34
       3007.57   7.526     33
       2999.02   7.505    232
       2997.31   7.500    352
       2982.42   7.463    103
       2980.71   7.459     45
       2975.10   7.445    199
       2973.75   7.441     98
       2968.87   7.429     57
       2967.29   7.425    115
       2965.33   7.420     30
       2944.34   7.368     46
       2943.12   7.365     81
       2941.77   7.361     48
       2937.62   7.351     37
       2935.67   7.346     97
       2933.72   7.341     31
       2928.34   7.328     40
       1056.27   2.643   1000
    

in CDCl3