图谱信息 供应商 相关产品
网站主页CAS数据库列表 620-23-5更多图谱3-甲基苯甲醛(620-23-5)红外图谱(IR1)

3-甲基苯甲醛

产品名称 3-甲基苯甲醛

CAS号620-23-5

分子式C8H8O

分子量120.15

展开


  • Mass

    MS-NW-3491          
    m-tolualdehyde
    C8H8O               (Mass of molecular ion:    120)
    

       Source Temperature: 270 °C
       Sample Temperature: 180 °C
       Reservoir, 75 eV
    

          27.0       2.1
          29.0       2.3
          37.0       1.7
          38.0       3.1
          39.0      15.3
          40.0       1.5
          41.0       3.6
          50.0       5.3
          51.0       8.6
          52.0       1.9
          61.0       2.2
          62.0       4.7
          63.0      11.4
          64.0       3.0
          65.0      25.4
          66.0       1.8
          74.0       1.7
          75.0       1.3
          77.0       1.6
          86.0       1.3
          89.0       7.7
          90.0       4.2
          91.0     100.0
          92.0      11.5
         119.0      93.3
         120.0      86.4
         121.0       7.9
         139.0       1.9
         174.0       1.0
    

400 MHz in CDCl3

90 MHz in CDCl3


  • 1H NMR 399.65 MHz
    C8 H8 O 0.05 ml : 0.5 ml CDCl3
    m-tolualdehyde
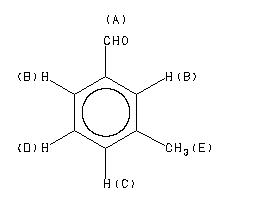
    ChemicalStructure
        Assign.     Shift(ppm)
    A 9.949 B 7.65 C 7.40 D 7.38 E 2.389

         Hz     ppm     Int.
    

       3976.44   9.950    681
       3060.91   7.659    158
       3060.30   7.658    174
       3057.40   7.651    315
       3055.27   7.645    319
       3054.81   7.644    302
       3053.89   7.642    220
       3053.28   7.640    214
       3052.67   7.639    183
       2966.31   7.423     32
       2965.85   7.422     30
       2964.32   7.418     64
       2963.71   7.416     62
       2962.49   7.413     62
       2961.88   7.412     59
       2961.27   7.410     46
       2958.83   7.404    201
       2958.37   7.403    205
       2956.70   7.399    510
       2955.02   7.395    219
       2954.41   7.393    196
       2953.03   7.390    130
       2949.83   7.382    265
       2945.56   7.371     30
       2942.20   7.362     80
        955.05   2.390    979
        954.59   2.389   1000
    


  • 1H NMR 89.56 MHz
    C8 H8 O 0.04 ml : 0.5 ml CDCl3
    m-tolualdehyde
    ChemicalStructure
        Assign.     Shift(ppm)
    A 9.958 B 7.68 to 7.61 C 7.41 D 7.39 E 2.401

         Hz     ppm     Int.
    

        891.87   9.959    585
        690.75   7.713     31
        690.16   7.707     57
        689.65   7.701     59
        688.99   7.694     42
        688.18   7.685     73
        687.38   7.676    120
        686.72   7.668    192
        686.13   7.662    232
        685.69   7.657    319
        684.52   7.644    154
        683.79   7.635    118
        683.06   7.627     87
        682.47   7.621    118
        681.88   7.614    120
        681.37   7.608     70
        680.86   7.603     58
        680.27   7.596     53
        679.76   7.590     32
        665.41   7.430    386
        664.31   7.418    207
        662.84   7.402    138
        662.33   7.396    127
        661.96   7.392    114
        660.57   7.376    155
        660.06   7.371    114
        659.11   7.360    193
        215.92   2.411    485
        215.11   2.402   1000
        214.38   2.394    725
    

in CDCl3



liquid film