图谱信息 供应商 相关产品
网站主页CAS数据库列表 620-71-3更多图谱N-苯丙醯胺(620-71-3)核磁图(1HNMR)

N-苯丙醯胺

产品名称 N-苯丙醯胺

CAS号620-71-3

分子式C9H11NO

分子量149.19

展开


  • Mass

    MS-NW-6512          
    propionanilide
    C9H11NO             (Mass of molecular ion:    149)
    

       Source Temperature: 240 °C
       Sample Temperature: 190 °C
       Reservoir, 75 eV
    

          27.0       3.5
          29.0      15.8
          38.0       1.2
          39.0       4.1
          50.0       1.0
          51.0       3.0
          52.0       1.0
          57.0      11.7
          63.0       1.5
          64.0       1.4
          65.0       5.9
          66.0       5.0
          77.0       5.3
          91.0       1.0
          92.0       2.9
          93.0     100.0
          94.0       7.6
         120.0       1.3
         149.0      21.6
         150.0       2.4
    

90 MHz in CDCl3


  • 1H NMR 89.56 MHz
    C9 H11 N O 0.043 g : 0.5 ml CDCl3
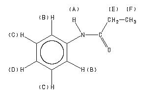
    propionanilide
    ChemicalStructure
        Assign.     Shift(ppm)
    A 7.9 B 7.50 C 7.27 D 7.06 E 2.35 F 1.21

         Hz     ppm     Int.
    

        678.38   7.575    118
        676.75   7.557    178
        674.75   7.535     71
        668.69   7.467    324
        666.13   7.438     70
        659.69   7.366    123
        658.19   7.350    185
        656.00   7.325     80
        654.13   7.304     62
        651.31   7.273    410
        649.31   7.251    199
        645.38   7.207     94
        643.63   7.187    227
        640.25   7.149    126
        638.56   7.130    185
        636.94   7.112    109
        634.50   7.085     63
        631.69   7.054    169
        223.25   2.493     95
        222.56   2.486    103
        215.13   2.403    423
        207.56   2.318    481
        200.44   2.239    158
        200.00   2.234    155
        115.13   1.286    517
        107.94   1.206   1000
        100.13   1.119    370
    

in CDCl3



KBr disc



nujol mull



4880 A,200 M,powder