
3-硝基苯乙醚
产品名称
3-硝基苯乙醚
CAS号621-52-3
分子式C8H9NO3
分子量167.16
InChIInChI=1S/C8H9NO3/c1-2-12-8-5-3-4-7(6-8)9(10)11/h3-6H,2H2,1H3
InChIKeyLFOLBPDHVGDKGJ-UHFFFAOYSA-N
SmilesC1(OCC)=CC=CC([N+]([O-])=O)=C1
展开
收起
-
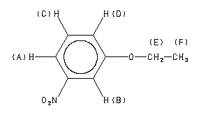
Assign. Shift(ppm)
A 7.783
B 7.70
C 7.41
D 7.213
E 4.104
F 1.455
Spectral Code: 1H NMR : 90 MHz in CDCl3
-
ppm Int. Assign.
159.61 453 1
149.27 164 2
129.95 826 3
121.52 1000 4
115.49 905 5
108.84 746 6
64.33 826 7
14.59 692 8
Spectral Code: 13C NMR : in CDCl3
-
Spectral Code: IR : liquid film
3-硝基苯乙醚(621-52-3)红外图谱(IR1) 相关产品图谱