图谱信息 供应商 相关产品
网站主页CAS数据库列表 622-32-2更多图谱苯甲醛肟(622-32-2)核磁图(13CNMR)

苯甲醛肟

产品名称 苯甲醛肟

CAS号622-32-2

分子式C7H7NO

分子量121.14

展开



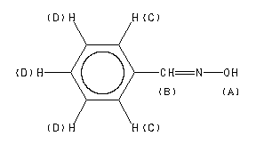
  •     Assign.     Shift(ppm)
    A 8.93 B 8.17 C 7.56 D 7.48 to 7.24
    Spectral Code: 1H NMR : 90 MHz in CDCl3



  •        ppm   Int.  Assign.
    150.57 425 1 131.82 376 2 130.08 522 3 128.75 952 4 127.12 1000 5
    Spectral Code: 13C NMR : in CDCl3


  • Spectral Code: IR : liquid film