图谱信息 供应商 相关产品
网站主页CAS数据库列表 624-89-5更多图谱甲基乙基硫醚(624-89-5)红外图谱(IR1)

甲基乙基硫醚

产品名称 甲基乙基硫醚

CAS号624-89-5

分子式C3H8S

分子量76.16

展开


  • Mass

    MS-NW-2718          
    ethyl methyl sulfide
    C3H8S               (Mass of molecular ion:     76)
    

       Source Temperature: 280 °C
       Sample Temperature: 180 °C
       Reservoir, 75 eV
    

          15.0       2.0
          26.0       3.5
          27.0      23.0
          28.0       2.1
          29.0      15.1
          35.0      14.2
          41.0       4.8
          44.0       1.6
          45.0      16.9
          46.0       9.3
          47.0      33.3
          48.0      47.1
          49.0       4.8
          50.0       2.1
          57.0       1.4
          58.0       3.5
          59.0       5.4
          60.0       2.7
          61.0     100.0
          62.0       3.4
          63.0       4.4
          75.0       4.2
          76.0      71.2
          77.0       3.1
          78.0       3.2
    

90 MHz in CDCl3


  • 1H NMR 89.56 MHz
    C3 H8 S 0.05 ml : 0.5 ml CDCl3
    ethyl methyl sulfide
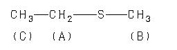
    ChemicalStructure
        Assign.     Shift(ppm)
    A 2.51 B 2.10 C 1.26

         Hz     ppm     Int.
    

        236.81   2.645     39
        236.13   2.637     34
        228.94   2.557    135
        222.25   2.482     90
        221.56   2.474    162
        214.75   2.398     54
        214.13   2.391     51
        188.13   2.101   1000
        120.19   1.343    173
        113.06   1.263    408
        112.63   1.258    240
        105.50   1.178    132
        105.00   1.173     74
    

in CDCl3



liquid film