产品名称 1,2-DICHLORO-3-NITRONAPHTHALENE
CAS号6240-55-7
分子式C10H5Cl2NO2
分子量242.06
InChIInChI=1S/C10H5Cl2NO2/c11-9-7-4-2-1-3-6(7)5-8(10(9)12)13(14)15/h1-5H
InChIKeyOYLOOSIEVLMIPQ-UHFFFAOYSA-N
SmilesC1(Cl)=C2C(C=CC=C2)=CC([N+]([O-])=O)=C1Cl
展开 收起
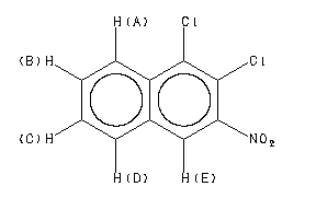
Parameter ppm Hz D(A) 8.258 D(B) 7.763 D(C) 7.663 D(D) 7.898 D(E) 8.194 J(A,B) 8.69 J(A,C) 1.09 J(A,D) 0.73 J(A,E) 0.82 J(B,C) 7.04 J(B,D) 1.25 J(B,E) -0.16 J(C,D) 8.30 J(C,E) 0.25 J(D,E) -0.46 ATTIMONELLI,M. & SCIACOVELLI,O. ORG.MAGN.RESON. 9, 601 (1977)
更多供应商
1,2-DICHLORO-3-NITRONAPHTHALENE(6240-55-7)核磁图(1HNMR) 相关产品图谱