图谱信息 供应商 相关产品
网站主页CAS数据库列表 62625-30-3更多图谱溴甲酚紫钠盐(62625-30-3)红外图谱(IR1)

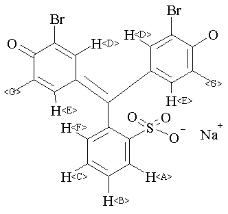
溴甲酚紫钠盐

产品名称 溴甲酚紫钠盐

CAS号62625-30-3

分子式C21H17Br2NaO5S

分子量564.22

展开



  •     Assign.     Shift(ppm)
    A 7.928 B *1 7.475 C *1 7.42 D 7.40 E 7.12 F 7.050 G 2.079
    Spectral Code: 1H NMR : 400 MHz in DMSO-d6


  • Spectral Code: IR : KBr disc