
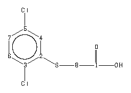
2,5-二氯苯基硫代羟基乙酸
产品名称
2,5-二氯苯基硫代羟基乙酸
CAS号6274-27-7
分子式C8H6Cl2O2S
分子量237.1
InChIInChI=1S/C8H6Cl2O2S/c9-5-1-2-6(10)7(3-5)13-4-8(11)12/h1-3H,4H2,(H,11,12)
InChIKeyDCXXCTCEJFBLPD-UHFFFAOYSA-N
SmilesC(O)(=O)CSC1=CC(Cl)=CC=C1Cl
展开
收起
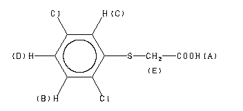
-
Assign. Shift(ppm)
A 13.
B 7.482
C 7.373
D 7.256
E 4.025
Spectral Code: 1H NMR : 400 MHz in DMSO-d6
-
ppm Int. Assign.
169.65 652 1
137.56 461 2
132.21 615 3 *
130.48 596 4 #
128.84 454 5 *
125.98 1000 6 #
7
33.48 311 8
Spectral Code: 13C NMR : in DMSO-d6
-
Spectral Code: IR : nujol mull
2,5-二氯苯基硫代羟基乙酸(6274-27-7)核磁图(13CNMR) 相关产品图谱