
4-氯-2-硝基苯甲酸
产品名称
4-氯-2-硝基苯甲酸
CAS号6280-88-2
分子式C7H4ClNO4
分子量201.56
InChIInChI=1S/C7H4ClNO4/c8-4-1-2-5(7(10)11)6(3-4)9(12)13/h1-3H,(H,10,11)
InChIKeyJAHIPDTWWVYVRV-UHFFFAOYSA-N
SmilesC(O)(=O)C1=CC=C(Cl)C=C1[N+]([O-])=O
展开
收起
-
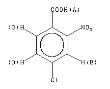
Assign. Shift(ppm)
A 14.
B 8.189
C 7.930
D 7.888
Spectral Code: 1H NMR : 400 MHz in DMSO-d6
-
ppm Int. Assign.
164.77 453 1
149.45 407 2
136.87 779 3
132.70 1000 4 *
131.83 953 5 *
125.33 448 6
123.73 965 7
Spectral Code: 13C NMR : in DMSO-d6
-
Spectral Code: IR : KBr disc
-
Spectral Code: Raman : 4880 A,200 M,powder
4-氯-2-硝基苯甲酸(6280-88-2)红外图谱(IR1) 相关产品图谱