图谱信息 供应商 相关产品
网站主页CAS数据库列表 6280-98-4更多图谱1,2-二正丙氧基苯(6280-98-4)红外图谱(IR1)

1,2-二正丙氧基苯

产品名称 1,2-二正丙氧基苯

CAS号6280-98-4

分子式C12H18O2

分子量194.27

展开



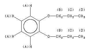
  •     Assign.     Shift(ppm)
    A 6.87 B 3.945 C 1.806 D 1.038
    Spectral Code: 1H NMR : 90 MHz in CDCl3



  •        ppm   Int.  Assign.
    149.39 640 1 121.13 1000 2 114.34 835 3 70.81 860 4 22.77 860 5 10.54 640 6
    Spectral Code: 13C NMR : in CDCl3


  • Spectral Code: IR : liquid film