图谱信息 供应商 相关产品
网站主页CAS数据库列表 6283-24-5更多图谱对氨基苯汞乙酸盐(6283-24-5)红外图谱(IR1)

对氨基苯汞乙酸盐

产品名称 对氨基苯汞乙酸盐

CAS号6283-24-5

分子式C8H9HgNO2

分子量351.75

展开



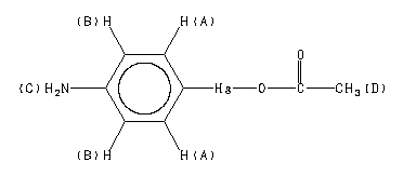
  •     Assign.     Shift(ppm)
    A 6.994 B 6.528 C 5.05 D 1.909
    Spectral Code: 1H NMR : 400 MHz in DMSO-d6



  •        ppm   Int.  Assign.
    174.78 710 1 148.60 470 2 136.95 1000 3 130.02 275 4 114.24 920 5 23.43 825 6
    Spectral Code: 13C NMR : DMSO-d6


  • Spectral Code: IR : KBr disc