
3-(苯基氨基)-2-丁烯酸乙酯
产品名称
3-(苯基氨基)-2-丁烯酸乙酯
CAS号6287-35-0
分子式C12H15NO2
分子量205.25
InChIInChI=1S/C12H15NO2/c1-3-15-12(14)9-10(2)13-11-7-5-4-6-8-11/h4-9,13H,3H2,1-2H3
InChIKeyNLGDIRPNWGZGLI-UHFFFAOYSA-N
SmilesC(OCC)(=O)C=C(NC1=CC=CC=C1)C
展开
收起
-
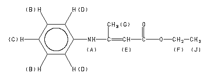
Assign. Shift(ppm)
A 10.38
B 7.29
C 7.20
D 7.09
E 4.69
F 4.145
G 1.98
J 1.281
Spectral Code: 1H NMR : 90 MHz in CDCl3
-
ppm Int. Assign.
170.37 227 1
158.82 286 2
139.45 276 3
129.06 1000 4
124.89 476 5
124.37 908 6
86.26 557 7
58.71 535 8
20.23 438 9
14.61 443 10
Spectral Code: 13C NMR : in CDCl3
-
Spectral Code: IR : liquid film
3-(苯基氨基)-2-丁烯酸乙酯(6287-35-0)红外图谱(IR1) 相关产品图谱