图谱信息 供应商 相关产品
网站主页CAS数据库列表 6290-24-0更多图谱2-乙氧基苯甲酸乙酯(6290-24-0)红外图谱(IR1)

2-乙氧基苯甲酸乙酯

产品名称 2-乙氧基苯甲酸乙酯

CAS号6290-24-0

分子式C11H14O3

分子量194.23

展开


  • Mass

    MS-IW-4031          
    ethyl o-ethoxybenzoate
    C11H14O3            (Mass of molecular ion:    194)
    

       Source Temperature: 210 °C
       Sample Temperature: 150 °C
       Reservoir, 75 eV
    

          27.0       3.4
          29.0       5.6
          39.0       4.4
          45.0       1.6
          50.0       1.3
          51.0       1.7
          53.0       1.1
          63.0       3.4
          64.0       4.6
          65.0      11.3
          76.0       1.6
          77.0       4.0
          91.0       1.7
          92.0      20.2
          93.0       9.0
          94.0       1.3
         104.0       1.2
         105.0       9.3
         106.0       1.6
         120.0     100.0
         121.0      38.0
         122.0       4.6
         123.0       1.8
         131.0       1.6
         133.0      17.6
         134.0       1.5
         147.0      28.8
         148.0       4.2
         149.0      23.9
         150.0       2.7
         151.0       1.9
         165.0       9.4
         166.0       3.0
         179.0       8.1
         194.0      13.3
         195.0       1.7
    

400 MHz in CDCl3


  • 1H NMR 399.65 MHz
    C11 H14 O3 0.05 ml : 0.5 ml CDCl3
    ethyl o-ethoxybenzoate
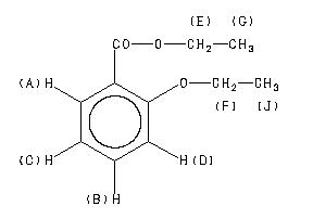
    ChemicalStructure
        Assign.     Shift(ppm)
    A 7.763 B 7.393 C 6.935 D 6.920 E 4.343 F 4.065 G 1.429 J 1.360

         Hz     ppm     Int.
    

       3106.93   7.775    170
       3105.10   7.770    183
       3099.24   7.755    186
       3097.41   7.751    189
       2963.62   7.416    110
       2961.79   7.411    110
       2956.30   7.398    138
       2955.32   7.395    143
       2954.35   7.393    138
       2953.49   7.391    133
       2947.88   7.377    130
       2946.04   7.372    125
       2780.03   6.957    125
       2779.05   6.954    151
       2772.46   6.938    194
       2771.48   6.935    267
       2769.41   6.930    217
       2765.01   6.919    113
       2763.92   6.916    152
       2761.11   6.909    187
       1746.58   4.371    207
       1739.50   4.353    571
       1732.30   4.335    563
       1725.22   4.317    210
       1635.38   4.093    156
       1628.42   4.075    432
       1621.46   4.058    434
       1614.50   4.040    161
        578.37   1.448    535
        575.56   1.441     47
        571.41   1.430    918
        564.33   1.413    512
        550.90   1.379    599
        547.97   1.372     41
        543.82   1.361   1000
        536.62   1.343    568
    

in CDCl3



liquid film