图谱信息 供应商 相关产品
网站主页CAS数据库列表 6293-87-4更多图谱2-硝基苯肼盐酸盐(6293-87-4)红外图谱(IR2)

2-硝基苯肼盐酸盐

产品名称 2-硝基苯肼盐酸盐

CAS号6293-87-4

分子式C6H8ClN3O2

分子量189.6

展开


  • Mass

    MS-IW-1885          
    (o-nitrophenyl)hydrazine monohydrochloride
    C6H7N3O2 HCl        (Mass of molecular ion:    153)
    

       Source Temperature: 130 °C
       Sample Temperature: 120 °C
       Direct, 75 eV
    

          18.0       1.4
          27.0       3.2
          28.0       6.5
          29.0       3.0
          30.0       4.3
          31.0       1.0
          35.0       5.6
          36.0      48.1
          37.0       3.8
          38.0      17.0
          39.0      12.8
          40.0       1.9
          41.0       1.9
          43.0       1.0
          50.0      13.4
          51.0      35.7
          52.0      96.3
          53.0      20.7
          54.0       2.5
          61.0       1.9
          62.0       4.2
          63.0      17.0
          64.0      15.5
          65.0      10.0
          66.0       1.8
          74.0       4.1
          75.0       3.8
          76.0      10.4
          76.5       2.9
          77.0     100.0
          78.0      29.7
          79.0      25.0
          80.0       7.3
          90.0      14.9
          91.0      22.4
          92.0       6.7
          93.0       2.2
         105.0       5.4
         106.0       1.6
         107.0       1.8
         119.0       5.0
         135.0       9.6
         136.0       2.4
         153.0      84.2
         154.0       6.6
    

400 MHz in DMSO-d6

90 MHz in D2O


  • 1H NMR 399.65 MHz
    C6 H7 N3 O2 saturated in DMSO-d6
    (o-nitrophenyl)hydrazine monohydrochloride
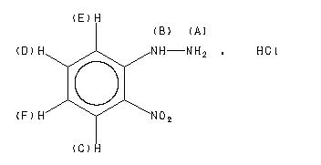
    ChemicalStructure
        Assign.     Shift(ppm)
    A 10.6 B 9.25 C 8.164 D 7.760 E 7.392 F 7.104

         Hz     ppm     Int.
    

       4234.44  10.596     51
       3698.31   9.254    266
       3268.06   8.178    941
       3266.59   8.174    997
       3259.63   8.157    987
       3257.98   8.153    983
       3110.35   7.783    444
       3108.70   7.779    471
       3104.86   7.769    131
       3103.02   7.765    551
       3101.74   7.762    881
       3100.28   7.758    603
       3094.60   7.744    542
       3093.13   7.740    518
       2958.87   7.404    878
       2957.77   7.401    942
       2950.26   7.383    819
       2949.35   7.380    820
       2847.51   7.126    544
       2846.22   7.122    592
       2840.18   7.107    616
       2839.08   7.104   1000
       2837.80   7.101    645
       2831.75   7.086    526
       2830.66   7.083    535
    


  • 1H NMR 89.56 MHz
    C6 H7 N3 O2 0.038 g : 0.5 ml D2O
    (o-nitrophenyl)hydrazine monohydrochloride
    ChemicalStructure
        Assign.     Shift(ppm)
    A 8.243 B 7.790 C 7.23 D 7.18 THE SOLVENT SIGNAL REMOVED.

         Hz     ppm     Int.
    

        744.25   8.311    270
        743.31   8.300    258
        742.50   8.291    436
        736.31   8.222    247
        735.44   8.212    349
        733.88   8.195    539
        707.31   7.898    226
        705.75   7.881    237
        700.75   7.825    127
        700.00   7.816    232
        698.56   7.800    400
        697.19   7.785    340
        691.63   7.723    413
        690.00   7.705    389
        651.75   7.278    951
        651.13   7.271    942
        648.69   7.244    100
        643.31   7.184   1000
        642.00   7.169    482
        636.06   7.103    273
        634.81   7.089    225
    

in D2O

in DMSO-d6





KBr disc



liquid film



nujol mull