图谱信息 供应商 相关产品
网站主页CAS数据库列表 6297-14-9更多图谱4-氨基-ALPHA-二乙胺-邻甲酚二盐酸盐(6297-14-9)红外图谱(IR2)

4-氨基-ALPHA-二乙胺-邻甲酚二盐酸盐

产品名称 4-氨基-ALPHA-二乙胺-邻甲酚二盐酸盐

CAS号6297-14-9

分子式C11H20Cl2N2O

分子量267.2


  • Mass

    MS-IW-0700          
    4-amino-alpha-diethylamino-o-cresol dihydrochloride
    C11H18N2O 2HCl      (Mass of molecular ion:    194)
    

       Source Temperature: 190 °C
       Sample Temperature: 150 °C
       Direct, 75 eV
    

          27.0       2.5
          28.0       4.9
          29.0       4.0
          30.0      20.8
          35.0       3.5
          36.0      51.2
          37.0       1.2
          38.0      17.1
          39.0       2.3
          40.0       1.0
          41.0       2.3
          42.0       3.6
          44.0      11.0
          46.0       1.5
          52.0       1.5
          53.0       1.5
          54.0       1.8
          56.0       2.5
          58.0      59.7
          59.0       2.3
          65.0       3.7
          66.0      11.5
          67.0       2.6
          72.0      25.4
          73.0      11.0
          74.0      75.3
          75.0       3.7
          77.0       2.9
          80.0       2.1
          86.0       3.3
          89.5       2.9
          92.0       3.1
          93.0      18.5
          94.0       5.9
          97.0       1.0
         106.0       1.0
         109.0       1.5
         120.0       1.1
         121.0     100.0
         122.0      30.8
         123.0      11.7
         135.0       1.2
         136.0       1.2
         165.0       1.4
         179.0       3.8
         193.0       1.5
         194.0      73.2
         195.0      10.3
    

400 MHz in DMSO-d6


  • 1H NMR 399.65 MHz
    C11 H18 N2 O 0.037 g : 0.5 ml DMSO-d6
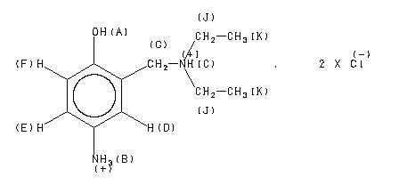
    4-amino-alpha-diethylamino-o-cresol dihydrochloride
    ChemicalStructure
        Assign.     Shift(ppm)
    A *1 11. B 11.5 C *1 10.1 D 7.557 E 7.352 F 7.194 G 4.231 J 3.07 K 1.274

         Hz     ppm     Int.
    

       4184.25  10.470     39
       4039.74  10.109     26
       3021.88   7.562    216
       3019.13   7.555    228
       2944.58   7.368    116
       2941.84   7.362    108
       2935.79   7.346    151
       2933.23   7.340    149
       2879.01   7.204    266
       2870.40   7.183    224
       1691.18   4.232    293
       1229.78   3.078    174
       1229.41   3.077    174
       1229.05   3.076    174
       1225.75   3.068    179
       1225.20   3.066    178
        516.35   1.293    477
        509.20   1.275   1000
        501.88   1.256    464
    

KBr disc



nujol mull