400 MHz in DMSO-d6
-
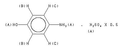
1H NMR 399.65 MHz C6 H7 N O 0.038 g : 0.5 ml DMSO-d6 p-aminophenol sulfate 
Assign. Shift(ppm)
A 8.24 B 6.815 C 6.676
Hz ppm Int.3291.78 8.237 83 2732.09 6.837 73 2728.73 6.828 697 2726.59 6.823 229 2722.17 6.812 290 2720.03 6.807 937 2716.67 6.798 101 2675.48 6.695 115 2672.12 6.687 1000 2669.83 6.681 271 2665.56 6.670 265 2663.42 6.665 729 2659.91 6.656 67
更多供应商




