图谱信息 供应商 相关产品
网站主页CAS数据库列表 632-93-9更多图谱1,4-二氢-2,4,6-三甲基-3,5-吡啶二甲酸二乙酯(632-93-9)核磁图(1HNMR)

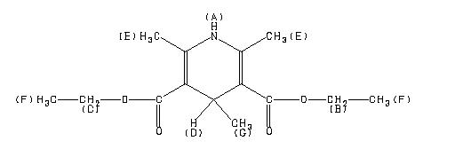
1,4-二氢-2,4,6-三甲基-3,5-吡啶二甲酸二乙酯

产品名称 1,4-二氢-2,4,6-三甲基-3,5-吡啶二甲酸二乙酯

CAS号632-93-9

分子式C14H21NO4

分子量267.32

展开


  • Mass

    MS-NW-9092          
    diethyl 2,4,6-trimethyl-1,4-dihydro-3,5-pyridinedicarboxylate
    C14H21NO4           (Mass of molecular ion:    267)
    

       Source Temperature: 180 °C
       Sample Temperature: 130 °C
       Direct, 75 eV
    

          29.0       2.2
          42.0       2.0
          67.0       1.7
          77.0       1.6
          79.0       1.0
         106.0       1.4
         120.0       1.6
         122.0       1.1
         148.0       2.0
         150.0       2.7
         151.0       1.7
         164.0       1.1
         166.0       1.2
         178.0       2.2
         179.0       2.5
         192.0       1.6
         194.0       2.9
         196.0      19.8
         197.0       2.1
         206.0       1.1
         208.0       1.7
         219.0       1.3
         220.0       5.7
         222.0      16.2
         223.0       2.5
         224.0      21.2
         225.0       2.7
         236.0       1.8
         252.0     100.0
         253.0      14.8
         254.0       1.8
         265.0       3.6
         266.0       1.1
         267.0       5.0
    

90 MHz in CDCl3


  • 1H NMR 89.56 MHz
    C14 H21 N O4 0.043 g : 0.5 ml CDCl3
    diethyl 2,4,6-trimethyl-1,4-dihydro-3,5-pyridinedicarboxylate
    ChemicalStructure
        Assign.     Shift(ppm)
    A 6.04 B *1 4.193 C *1 4.183 D 3.840 E 2.267 F 1.296 G 0.970

         Hz     ppm     Int.
    

        540.81   6.039     33
        386.38   4.315     60
        385.19   4.301     63
        379.13   4.234    189
        378.13   4.223    183
        371.94   4.153    212
        371.13   4.144    186
        364.81   4.074     80
        364.25   4.068     69
        347.06   3.876     44
        340.63   3.804     45
        203.06   2.268   1000
        122.94   1.373    366
        120.00   1.340     35
        119.44   1.334     33
        115.94   1.295    811
        108.75   1.215    324
         90.00   1.005    272
         83.50   0.933    253
    

KBr disc



nujol mull