图谱信息 供应商 相关产品
网站主页CAS数据库列表 6321-40-0更多图谱三(2-甲基烯丙基)胺(6321-40-0)核磁图(1HNMR)

三(2-甲基烯丙基)胺

产品名称 三(2-甲基烯丙基)胺

CAS号6321-40-0

分子式C12H21N

分子量179.3


  • Mass

    MS-IW-0865          
    tris(2-methylallyl)amine
    C12H21N             (Mass of molecular ion:    179)
    

       Source Temperature: 210 °C
       Sample Temperature: 150 °C
       Reservoir, 75 eV
    

          27.0       2.3
          29.0       7.1
          30.0       2.2
          39.0       3.5
          41.0       4.0
          42.0       4.4
          43.0       1.9
          44.0       1.2
          53.0       2.1
          55.0      32.2
          56.0       3.6
          58.0       1.0
          67.0       6.8
          68.0       2.0
          69.0       2.0
          70.0       2.3
          80.0       1.3
          81.0       3.1
          82.0       8.0
          83.0       1.1
          84.0       4.1
          94.0       1.5
          95.0       1.6
          96.0       2.7
         108.0       3.2
         109.0       2.8
         110.0       1.2
         111.0       1.0
         122.0       2.6
         123.0       5.6
         124.0       2.5
         136.0       7.7
         137.0       1.0
         138.0     100.0
         139.0      10.3
         164.0      12.4
         165.0       1.6
         178.0       1.3
         179.0      12.2
         180.0       1.8
    

400 MHz in CDCl3


  • 1H NMR 399.65 MHz
    C12 H21 N 0.05 ml : 0.5 ml CDCl3
    tris(2-methylallyl)amine
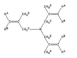
    ChemicalStructure
        Assign.     Shift(ppm)
    A *1 4.899 B *1 4.822 C 2.784 D 1.734

         Hz     ppm     Int.
    

       1958.74   4.902    220
       1957.52   4.899    247
       1956.54   4.896    227
       1929.08   4.827    177
       1927.61   4.824    235
       1926.76   4.822    239
       1925.29   4.818    193
       1112.55   2.784    696
        693.36   1.735    866
        692.38   1.733   1000
    

in CDCl3



liquid film