-
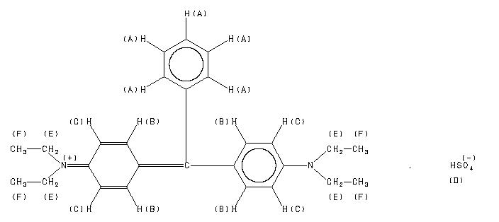
MS-NW-9189 brilliant green C27H34N2O4S (Mass of molecular ion: 482)
Source Temperature: 200 °C Sample Temperature: 300 °C Direct, 75 eV
17.0 6.6 18.0 31.5 27.0 3.9 28.0 4.6 29.0 6.2 30.0 1.5 32.0 1.7 34.0 2.6 38.0 1.0 39.0 5.0 40.0 1.0 41.0 2.6 42.0 2.7 43.0 1.9 44.0 1.9 48.0 11.0 50.0 2.6 51.0 8.5 52.0 2.7 53.0 3.5 54.0 1.4 55.0 1.6 56.0 1.5 57.0 1.9 63.0 3.1 64.0 36.0 65.0 8.7 66.0 4.6 67.0 1.2 69.0 1.3 71.0 1.2 75.0 1.0 76.0 2.1 77.0 25.7 78.0 6.6 79.0 8.8 80.0 1.3 82.0 1.3 83.0 1.8 84.0 1.0 84.5 1.2 85.0 1.0 89.0 2.8 90.0 3.6 90.5 1.6 91.0 49.4 91.5 1.4 92.0 6.8 93.0 9.2 94.0 1.3 96.5 2.2 97.0 1.6 97.5 4.3 98.0 3.3 102.0 1.0 103.0 2.6 104.0 7.9 105.0 7.9 105.5 1.9 106.0 78.3 107.0 6.9 110.0 1.0 111.0 1.3 111.5 1.7 112.0 3.6 115.0 3.9 116.0 1.3 117.0 2.6 118.0 11.6 119.0 5.3 119.5 4.1 120.0 7.9 121.0 22.4 122.0 3.6 126.0 1.0 127.0 1.7 128.0 2.9 129.0 1.3 130.0 1.4 132.0 3.5 133.0 3.2 134.0 61.5 135.0 7.1 139.0 2.0 140.0 1.2 141.0 1.9 142.0 1.0 143.0 2.2 146.0 1.0 147.0 1.6 148.0 3.4 149.0 24.6 150.0 13.7 150.5 2.5 151.0 2.2 152.0 9.2 153.0 4.1 154.0 2.3 155.0 1.5 156.0 1.5 157.0 3.1 162.0 1.7 163.0 2.4 164.0 12.9 164.5 2.7 165.0 27.4 166.0 14.5 167.0 11.1 168.0 2.7 171.0 2.9 171.5 1.4 177.0 1.1 178.0 30.3 178.5 8.4 179.0 4.9 180.0 5.3 181.0 3.1 182.0 9.2 183.0 11.4 184.0 1.9 185.0 2.1 185.5 2.6 186.0 1.6 190.0 1.0 192.0 2.3 193.0 14.1 193.5 3.6 194.0 16.1 195.0 5.4 196.0 70.9 197.0 12.1 198.0 1.0 207.0 1.1 208.0 4.6 209.0 4.8 210.0 11.9 211.0 38.6 212.0 6.7 214.0 2.3 221.0 2.8 222.0 3.6 223.0 2.2 224.0 100.0 225.0 19.0 226.0 2.3 230.0 1.1 231.0 1.5 232.0 3.6 233.0 4.2 234.0 1.1 235.0 1.5 236.0 1.6 237.0 11.8 238.0 17.9 239.0 46.5 240.0 9.3 241.0 2.2 242.0 1.0 251.0 1.5 252.0 1.1 253.0 5.5 254.0 1.5 265.0 5.3 266.0 1.5 268.0 1.7 270.0 1.6 275.0 1.2 279.0 1.0 281.0 7.6 282.0 2.3 284.0 1.1 286.0 1.3 296.0 2.9 297.0 1.4 299.0 5.3 300.0 1.6 302.0 1.1 309.0 30.7 310.0 7.9 311.0 1.4 313.0 2.8 314.0 4.8 315.0 3.5 327.0 18.6 328.0 5.4 329.0 2.3 330.0 4.6 331.0 1.2 341.0 6.0 342.0 2.5 343.0 16.9 344.0 4.9 352.0 1.4 356.0 1.4 357.0 4.4 358.0 19.6 359.0 4.9 365.0 3.5 366.0 1.2 369.0 1.1 371.0 60.8 372.0 21.9 373.0 3.4 380.0 2.7 384.0 1.0 385.0 9.6 386.0 77.0 387.0 28.6 388.0 4.2
90 MHz in DMSO-d6
-
1H NMR 89.56 MHz C27 H34 N2 O4 S 0.038 g : 0.5 ml DMSO-d6 brilliant green 
Assign. Shift(ppm)
A 7.79 to 7.26 B 7.35 C 7.11 D 4.9 E 3.67 F 1.24 D-PEAK INCLUDES H2O.
Hz ppm Int.692.06 7.728 132 690.31 7.708 203 682.56 7.622 172 662.94 7.403 361 653.69 7.299 473 639.50 7.141 415 630.13 7.036 187 629.88 7.034 187 341.38 3.812 101 340.06 3.798 128 339.63 3.793 129 339.31 3.789 129 339.00 3.786 131 338.63 3.782 128 337.94 3.774 129 337.63 3.770 136 332.63 3.715 339 325.75 3.638 355 322.31 3.599 152 321.19 3.587 139 320.75 3.582 138 320.00 3.574 144 319.44 3.567 146 319.13 3.564 147 318.44 3.556 142 117.63 1.314 442 110.75 1.237 1000 104.06 1.162 363 103.75 1.159 363
更多供应商






