图谱信息 供应商 相关产品
网站主页CAS数据库列表 634-60-6更多图谱2-氨基-1,3-苯二酚盐酸盐(634-60-6)红外图谱(IR2)

2-氨基-1,3-苯二酚盐酸盐

产品名称 2-氨基-1,3-苯二酚盐酸盐

CAS号634-60-6

分子式C6H8ClNO2

分子量161.59

展开


  • Mass

    MS-NW-6209          
    2-aminoresorcinol hydrochloride
    C6H7NO2 HCl         (Mass of molecular ion:    125)
    

       Source Temperature: 200 °C
       Sample Temperature: 130 °C
       Direct, 75 eV
    

          18.0       1.1
          27.0       1.4
          28.0       5.6
          29.0       1.2
          35.0       1.7
          36.0      13.7
          37.0       1.5
          38.0       4.6
          39.0       7.1
          39.5       2.2
          40.0       1.6
          41.0       5.6
          42.0       1.7
          50.0       1.9
          51.0       5.9
          52.0      19.3
          53.0       5.6
          54.0       1.4
          62.5       2.8
          67.0       2.1
          68.0       2.0
          69.0       1.0
          78.0       5.9
          79.0      18.7
          80.0       2.7
          96.0      10.8
         107.0      35.3
         108.0       2.6
         124.0       3.6
         125.0     100.0
         126.0       7.1
    

400 MHz in DMSO-d6


  • 1H NMR 399.65 MHz
    C6 H7 N O2 0.037 g : 0.5 ml DMSO-d6
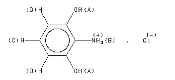
    2-aminoresorcinol hydrochloride
    ChemicalStructure
        Assign.     Shift(ppm)
    A 10.7 B 9.50 C 6.981 D 6.562

         Hz     ppm     Int.
    

       4287.72  10.729    278
       3797.76   9.503    147
       2798.77   7.004    227
       2790.68   6.983    444
       2782.29   6.962    280
       2626.65   6.573   1000
       2618.41   6.552    943
    

in DMSO-d6



KBr disc



nujol mull