图谱信息 供应商 相关产品
网站主页CAS数据库列表 6351-10-6更多图谱1-茚醇(6351-10-6)核磁图(1HNMR)

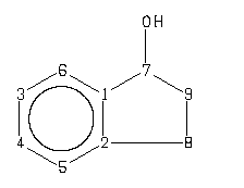
1-茚醇

产品名称 1-茚醇

CAS号6351-10-6

分子式C9H10O

分子量134.18

展开



  •     Assign.     Shift(ppm)
    A 7.408 B 7.29 to 7.210 C 5.231 D 3.047 E 2.815 F 2.478 G 1.934 J 1.86
    Spectral Code: 1H NMR : 400 MHz in CDCl3



  •        ppm   Int.  Assign.
    145.01 552 1 143.16 672 2 128.03 945 3 126.51 965 4 124.69 876 5 124.27 910 6 75.98 741 7 35.58 900 8 29.71 1000 9 ASSIGNED BY C-H COSY.
    Spectral Code: 13C NMR : in CDCl3


  • Spectral Code: IR : KBr disc


  • Spectral Code: Raman : 4880 A,200 M,powder