90 MHz in CDCl3
-
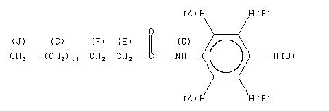
1H NMR 89.56 MHz C24 H41 N O 0.044 g : 0.5 ml CDCl3 stearanilide 
Assign. Shift(ppm)
A 7.50 B 7.30 C 7.6 to 7.26 D 7.10 E 2.35 F 1.71 G 1.26 J 0.89
Hz ppm Int.669.19 7.472 35 661.63 7.388 22 660.31 7.373 27 653.38 7.296 43 645.81 7.211 21 210.06 2.346 30 202.63 2.263 25 202.44 2.261 25 112.50 1.257 1000 78.75 0.880 55
更多供应商




