图谱信息 供应商 相关产品
网站主页CAS数据库列表 6372-14-1更多图谱Cbz-L-苯丙氨醇(6372-14-1)质谱(MS)

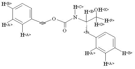
Cbz-L-苯丙氨醇

产品名称 Cbz-L-苯丙氨醇

CAS号6372-14-1

分子式C17H19NO3

分子量285.34


  • Mass

    MS-KW-0551          
    N-benzyloxycarbonyl-L-phenylalaninol
    C17H19NO3           (Mass of molecular ion:    271)
    

       Source Temperature: 150 °C
       Sample Temperature: 130 °C
       Direct, 75 eV
    

          15.0       3.6
          18.0       2.9
          27.0       4.4
          28.0       3.9
          29.0       2.8
          30.0       1.2
          31.0       1.5
          37.0       1.0
          38.0       2.4
          39.0      11.3
          40.0       1.1
          41.0       2.7
          42.0      31.8
          43.0       8.4
          44.0       2.1
          50.0       7.5
          51.0      17.7
          52.0       4.9
          53.0       4.2
          53.5       1.3
          54.0       1.2
          55.0       1.0
          58.0       7.1
          62.0       2.4
          63.0       6.7
          64.0       1.8
          65.0      17.1
          66.0       1.4
          74.0       2.5
          75.0       1.8
          76.0       1.7
          77.0      33.3
          78.0      12.6
          79.0      50.8
          80.0       5.1
          85.0       3.9
          86.0      70.9
          87.0       3.1
          89.0       6.4
          90.0       6.3
          91.0      99.1
          92.0     100.0
          93.0       7.7
         103.0       3.8
         104.0       2.8
         105.0      10.8
         106.0       4.6
         107.0      35.1
         108.0      43.6
         109.0       3.4
         115.0       4.3
         116.0       3.4
         117.0       2.4
         118.0       1.4
         131.0       1.1
         132.0       1.1
         133.0       1.9
         134.0       9.5
         135.0       1.0
         150.0       3.2
         177.0       6.5
         178.0       1.1
         194.0       2.7
    

400 MHz in CDCl3


  • 1H NMR 399.65 MHz
    C17H19NO3 0.040 g : 0.5 ml CDCl3
    N-benzyloxycarbonyl-L-phenylalaninol
    ChemicalStructure
        Assign.     Shift(ppm)
    A 7.30 B 7.19 C 5.20 D 5.039 E 3.922 F *1 3.61 G *1 3.53 J 2.823 K 2.78

         Hz     ppm     Int.
    

       2935.43   7.343     95
       2932.74   7.336    139
       2927.01   7.322    325
       2925.66   7.319    276
       2923.47   7.313    262
       2919.80   7.304    793
       2917.97   7.299    529
       2916.39   7.295    427
       2911.99   7.284    631
       2903.20   7.262    519
       2895.88   7.244    338
       2890.39   7.230    196
       2884.89   7.217    221
       2877.81   7.199    286
       2871.95   7.184    314
       2865.73   7.169    214
       2076.91   5.196     80
       2026.49   5.069     40
       2014.04   5.038   1000
       2000.86   5.005     25
       1567.88   3.922     78
       1442.02   3.608    104
       1409.31   3.526     86
       1131.96   2.832    236
       1125.13   2.815    246
       1109.01   2.775    120
    

in CDCl3



KBr disk



Nujol