图谱信息 供应商 相关产品
网站主页CAS数据库列表 6388-47-2更多图谱2-氨基-3-氯苯甲酸(6388-47-2)红外图谱(IR1)

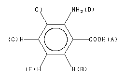
2-氨基-3-氯苯甲酸

产品名称 2-氨基-3-氯苯甲酸

CAS号6388-47-2

分子式C7H6ClNO2

分子量171.58

展开



  •     Assign.     Shift(ppm)
    A 13. B 7.774 C 7.494 D 6.8 E 6.600
    Spectral Code: 1H NMR : 400 MHz in DMSO-d6



  •        ppm   Int.  Assign.
    169.12 627 1 146.89 606 2 133.64 782 3 130.37 756 4 119.06 658 5 115.08 1000 6 111.91 528 7
    Spectral Code: 13C NMR : in DMSO-d6


  • Spectral Code: IR : KBr disc