图谱信息 供应商 相关产品
网站主页CAS数据库列表 64-47-1更多图谱硫酸依色林(64-47-1)红外图谱(IR1)

硫酸依色林

产品名称 硫酸依色林

CAS号64-47-1

分子式C30H44N6O8S

分子量648.77

展开


  • Mass

    MS-IW-1129          
    physostigmine sulfate
    C15H21N3O2 1/2H2O4S (Mass of molecular ion:    275)
    

       Source Temperature: 200 °C
       Sample Temperature: 180 °C
       Direct, 75 eV
    

          15.0       2.2
          27.0       5.2
          28.0      12.1
          29.0       2.7
          30.0       3.1
          31.0       1.2
          39.0       2.9
          41.0       2.1
          42.0       8.4
          43.0       1.4
          44.0      13.5
          51.0       2.0
          52.0       1.0
          53.0       1.3
          55.0       2.2
          56.0       7.4
          57.0      21.4
          58.0       2.5
          63.0       1.7
          65.0       3.5
          66.0       1.3
          67.0       1.0
          70.0       1.1
          71.0       1.8
          73.0       3.2
          77.0       4.1
          78.0       1.6
          79.0       1.7
          80.0       1.9
          81.0       2.0
          82.0       1.4
          85.0       1.3
          88.0       1.3
          89.0       2.6
          90.0       1.8
          91.0       3.9
          92.0       1.3
          93.0       1.4
          94.0       3.1
          95.0       1.0
          96.0       5.9
          97.0       1.2
         100.5       1.1
         101.0       2.5
         101.5       4.9
         102.0       1.5
         103.0       2.2
         104.0       1.2
         105.0       1.5
         106.0       1.4
         107.0       1.3
         108.0       1.5
         109.0       2.1
         115.0       2.6
         116.0       2.1
         117.0       5.1
         118.0       2.3
         119.0       1.1
         122.0       1.1
         128.0       1.3
         130.0       3.6
         131.0       6.2
         132.0       7.7
         133.0       3.3
         134.0       1.8
         142.0       1.2
         143.0       1.2
         144.0       3.8
         145.0       5.4
         146.0      13.8
         147.0       6.5
         148.0       2.3
         158.0       2.8
         159.0       7.0
         160.0      77.6
         161.0      53.9
         162.0      14.9
         163.0       1.8
         170.0       1.2
         172.0       2.4
         173.0       4.0
         174.0      81.5
         175.0      19.6
         176.0       4.5
         177.0       1.7
         185.0       1.3
         186.0      10.9
         187.0       6.1
         188.0      18.2
         189.0       3.4
         190.0       1.7
         201.0       1.8
         202.0       2.3
         203.0       8.9
         204.0       1.7
         216.0       1.8
         217.0       7.5
         218.0     100.0
         219.0      15.2
         220.0       1.3
         275.0       5.0
    

400 MHz in DMSO-d6


  • 1H NMR 399.65 MHz
    C15 H21 N3 O2 0.038 g : 0.5 ml DMSO-d6
    physostigmine sulfate
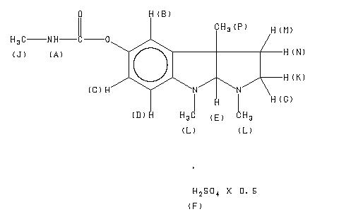
    ChemicalStructure
        Assign.     Shift(ppm)
    A 7.44 B 6.859 C 6.775 D 6.491 E 4.526 F 4.3 G *1 3.02 J 2.951 K *1 2.65 L 2.642 M *2 2.04 N *2 2.00 P 1.393

         Hz     ppm     Int.
    

       2975.46   7.446     67
       2970.95   7.434     67
       2742.43   6.863    156
       2740.11   6.857    174
       2713.26   6.790     96
       2710.82   6.783     82
       2704.83   6.768    104
       2702.51   6.763     96
       2598.27   6.502    159
       2589.84   6.481    139
       1809.08   4.527    206
       1212.65   3.035     30
       1210.33   3.029     32
       1206.30   3.019     52
       1202.51   3.009     39
       1200.20   3.004     34
       1179.44   2.952    972
       1056.03   2.643   1000
       1051.51   2.632    502
        823.12   2.060     39
        816.53   2.044     42
        813.96   2.037     45
        807.25   2.020     36
        803.47   2.011     40
        799.56   2.001     48
        797.36   1.996     50
        793.33   1.986     42
        791.38   1.981     30
        556.88   1.394    590
    

KBr disc



nujol mull