图谱信息 供应商 相关产品
网站主页CAS数据库列表 6417-85-2更多图谱荧光素二钾(6417-85-2)核磁图(1HNMR)

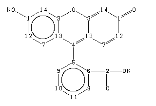
荧光素二钾

产品名称 荧光素二钾

CAS号6417-85-2

分子式C20H13KO5

分子量372.42

展开



  •     Assign.     Shift(ppm)
    A 7.998 B *1 7.43 C *1 7.39 D 7.006 E 6.597 F 6.057 G 5.994
    Spectral Code: 1H NMR : 400 MHz in DMSO-d6



  •        ppm   Int.  Assign.
    180.12 639 1 169.00 503 2 157.56 995 3 156.10 111 4 141.85 389 5 133.71 413 6 130.14 881 7 129.68 448 8 128.85 434 9 127.49 656 10 11 122.52 780 12 108.76 876 13 102.36 1000 14 ASSIGNED BY C-H COSY.
    Spectral Code: 13C NMR : in DMSO-d6


  • Spectral Code: IR : KBr disc