400 MHz in CDCl3
400 MHz in D2O
-
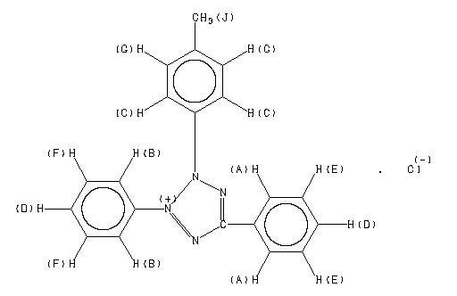
1H NMR 399.65 MHz C20 H17 Cl N4 0.040 g : 0.5 ml CDCl3 2,5-diphenyl-3-(p-tolyl)-2H-tetrazolium chloride 
Assign. Shift(ppm)
A 8.176 B 8.119 C 7.965 D 7.46 E 7.392 F 7.313 G 7.062 J 2.301
Hz ppm Int.3274.17 8.193 33 3272.22 8.188 214 3271.24 8.186 281 3269.65 8.182 131 3265.99 8.173 70 3264.04 8.168 327 3262.57 8.164 254 3253.17 8.141 30 3251.83 8.137 45 3249.63 8.132 235 3248.66 8.129 256 3241.21 8.111 289 3239.99 8.108 223 3190.06 7.983 50 3187.74 7.977 339 3179.20 7.955 365 2992.92 7.489 38 2991.70 7.486 65 2990.36 7.483 76 2989.26 7.480 82 2988.16 7.477 56 2986.69 7.474 53 2984.25 7.468 197 2981.81 7.462 210 2978.15 7.452 95 2976.81 7.449 150 2975.34 7.445 134 2974.12 7.442 124 2973.14 7.440 72 2961.55 7.411 227 2955.20 7.395 178 2953.86 7.392 332 2948.24 7.378 55 2946.66 7.374 142 2945.43 7.371 84 2930.18 7.332 219 2921.75 7.311 286 2916.02 7.297 60 2914.18 7.292 156 2826.54 7.073 284 2817.99 7.052 277 919.80 2.302 1000
-
1H NMR 399.65 MHz C20 H17 Cl N4 0.019 g : 0.5 ml D2O 2,5-diphenyl-3-(p-tolyl)-2H-tetrazolium chloride 
Assign. Shift(ppm)
A 8.354 B 7.82 C 7.76 D 7.703 E 7.624 F 7.500 G 2.790
Hz ppm Int.3342.65 8.364 157 3334.96 8.345 164 3140.38 7.858 37 3139.65 7.857 41 3132.93 7.840 93 3132.32 7.838 95 3131.47 7.836 77 3125.00 7.820 87 3122.31 7.813 102 3120.73 7.809 55 3118.29 7.803 36 3114.75 7.794 86 3111.33 7.786 36 3110.35 7.783 39 3105.47 7.771 141 3102.78 7.764 176 3098.14 7.753 258 3096.68 7.749 254 3095.09 7.745 219 3085.82 7.722 189 3078.13 7.703 160 3069.70 7.681 64 3051.76 7.637 158 3047.97 7.627 47 3043.21 7.615 210 3001.22 7.510 190 2992.55 7.488 137 1115.11 2.791 1000
更多供应商



