-
MS-NW-2220 o-isopropylaniline C9H13N (Mass of molecular ion: 135)
Source Temperature: 270 °C Sample Temperature: 170 °C Reservoir, 75 eV
27.0 1.8 28.0 1.3 39.0 4.4 41.0 2.4 42.0 1.9 50.0 1.0 51.0 3.0 52.0 1.7 53.0 1.3 54.0 1.0 58.5 1.9 60.0 1.9 63.0 1.7 65.0 4.7 66.0 1.8 77.0 8.9 78.0 2.0 79.0 1.3 89.0 1.0 91.0 5.9 92.0 1.9 93.0 6.3 94.0 4.3 102.0 1.1 103.0 7.2 104.0 1.3 106.0 6.0 115.0 1.4 117.0 2.6 118.0 4.8 119.0 4.0 120.0 100.0 121.0 9.5 134.0 1.7 135.0 35.9 136.0 3.6 162.0 4.0 177.0 1.5
90 MHz in CDCl3
-
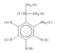
1H NMR 89.56 MHz C9 H13 N 0.04 ml : 0.5 ml CDCl3 o-isopropylaniline 
Assign. Shift(ppm)
A 7.13 B 7.02 C 6.75 D 6.66 E 3.6 F 2.87 G 1.248
Hz ppm Int.643.38 7.184 92 642.13 7.170 38 641.63 7.165 53 636.19 7.104 79 634.38 7.084 104 628.94 7.023 89 627.06 7.002 68 621.56 6.941 91 619.69 6.920 63 613.63 6.852 54 613.19 6.847 55 611.94 6.833 74 611.56 6.829 70 606.25 6.770 50 605.81 6.765 58 604.63 6.752 69 604.25 6.747 71 599.44 6.694 100 598.94 6.688 113 597.81 6.675 80 597.38 6.671 79 591.94 6.610 52 591.44 6.604 57 590.38 6.593 48 589.94 6.588 46 317.19 3.542 53 264.94 2.959 33 258.13 2.883 45 251.31 2.807 38 114.94 1.284 1000 112.88 1.261 73 110.38 1.233 33 109.50 1.223 64 108.19 1.209 866
更多供应商







