图谱信息 供应商 相关产品
网站主页CAS数据库列表 644-06-4更多图谱早熟素Ⅱ(644-06-4)红外图谱(IR2)

早熟素Ⅱ

产品名称 早熟素Ⅱ

CAS号644-06-4

分子式C13H16O3

分子量220.26

展开


  • Mass

    MS-NW-6745          
    6,7-dimethoxy-2,2-dimethyl-2H-chromene
    C13H16O3            (Mass of molecular ion:    220)
    

       Source Temperature: 120 °C
       Sample Temperature: 100 °C
       Direct, 75 eV
    

          15.0       1.6
          27.0       1.1
          39.0       2.4
          41.0       1.5
          43.0       2.8
          50.0       1.2
          51.0       2.4
          53.0       1.4
          63.0       1.5
          65.0       1.9
          69.0       4.1
          77.0       3.6
          78.0       1.2
          79.0       1.0
          91.0       3.9
          95.0       1.1
         102.5       3.2
         103.0       1.5
         105.0       1.0
         110.0       1.8
         115.0       1.7
         117.0       1.0
         119.0       1.6
         131.0       1.2
         132.0       1.3
         144.0       2.1
         145.0       1.9
         147.0       1.0
         160.0       2.2
         161.0       7.1
         162.0       1.4
         173.0       1.6
         174.0       1.1
         175.0       1.2
         189.0       6.6
         190.0       3.8
         205.0     100.0
         206.0      13.4
         207.0       1.4
         220.0      28.5
         221.0       4.1
    

90 MHz in CDCl3


  • 1H NMR 89.56 MHz
    C13 H16 O3 0.042 g : 0.5 ml CDCl3
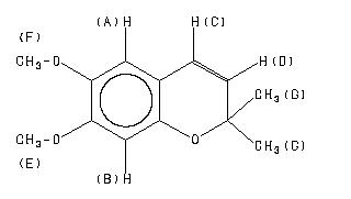
    6,7-dimethoxy-2,2-dimethyl-2H-chromene
    ChemicalStructure
        Assign.     Shift(ppm)
    A 6.526 B 6.409 C 6.226 D 5.472 E *1 3.829 F *1 3.814 G 1.408 J(C,D)=9.7HZ.

         Hz     ppm     Int.
    

        584.50   6.527    116
        574.00   6.410     92
        563.44   6.292     39
        563.06   6.287     39
        553.31   6.179     51
        494.19   5.518     87
        484.50   5.410     64
        342.94   3.830    483
        341.56   3.814    542
        126.13   1.409   1000
    

in CDCl3



KBr disc



nujol mull